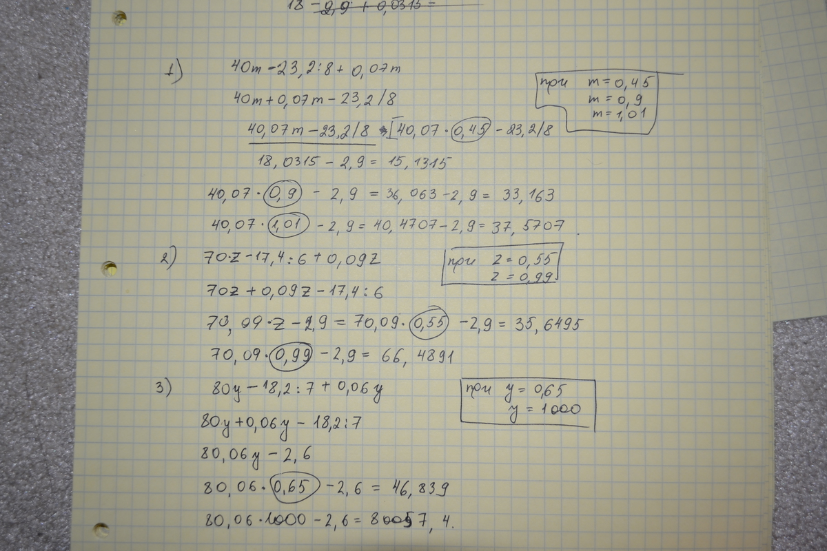
Упростите и найдите значение выражения
1)40m-23,2:8+0,07m
При m =0,45.,0,9.,1,01
2) 70z -17,4:6+0,09z
При z= 0,55.,0,99
3) 80y_18,2:7+0,06y
При y=0,65.,1000
Ответы
Ответ дал:
0
Решения в файле. Какие-то интересные выражения, слишком простые, чтобы упрощать
Приложения:
Вас заинтересует
3 года назад
3 года назад
8 лет назад
8 лет назад
10 лет назад
10 лет назад
11 лет назад
11 лет назад