• Предмет: Алгебра
  • Автор: wanderer1552
  • Вопрос задан 10 лет назад

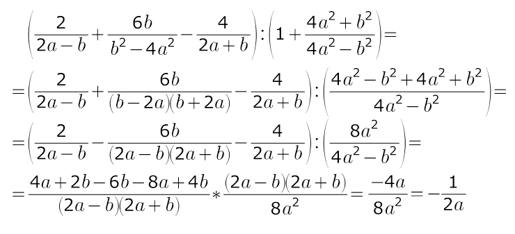
Алгебраические выражения за 8 класс. Помогите решить!

Приложения:

Ответы

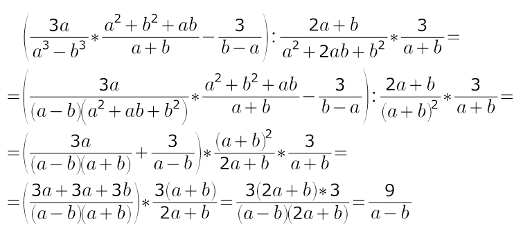
Ответ дал: LFP
0
----------------------------------------------------------------------
Приложения:
Вас заинтересует