• Предмет: Математика
  • Автор: Арабат
  • Вопрос задан 10 лет назад

Объясните, как решать, пожалуйста.

Приложения:

Ответы

Ответ дал: Мартын05
0
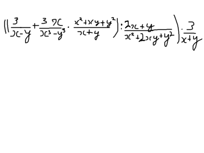
 frac{( x^{2} + xy+ y^{2})*(x-y) }{(x+y)*(x-y)} = frac{ x^{3} - y^{3} }{ x^{2} - y^{2} }
 frac{3x}{ x^{3} - y^{3} } * frac{x^{3} - y^{3} }{x^{2} - y^{2} } =frac{3x}{ x^{2} - y^{2} }
 frac{3*(x+y)}{(x-y)*(x+y)} = frac{3(x+y)}{ x^{2} - y^{2} }
frac{3(x+y)}{ x^{2} - y^{2} }+frac{3x}{ x^{2} - y^{2} }=frac{3(2x+y)}{ x^{2} - y^{2} }
frac{3(2x+y)}{ x^{2} - y^{2} }:frac{2x+y}{ x^{2} +2xy+ y^{2} }=frac{3(2x+y)}{ x^{2} - y^{2} }* frac{ x^{2} +2xy+ y^{2} }{2x+y} =frac{3*( x^{2} +2xy+ y^{2}) }{x^{2} - y^{2}}
frac{3*( x^{2} +2xy+ y^{2}) }{x^{2} - y^{2}}* frac{3}{x+y} =frac{9*( x^{2} +2xy+ y^{2}) }{(x-y)*(x+y)*(x+y)}=frac{9*( x^{2} +2xy+ y^{2}) }{(x-y)*(x^{2} +2xy+ y^{2})}=frac{9 }{(x-y)}
Ответ дал: Арабат
0
не очень понятно)
Ответ дал: Мартын05
0
что именно непонятно?
Ответ дал: Мартын05
0
Основная мысль такая: там где не хватает множителя, чтобы получилась полная формула сокращённого умножения, добавляем этот множитель. А чтобы дробь не изменилась, умножаем на него и числитель и знаменатель.
Вас заинтересует