Ответы
Ответ дал:
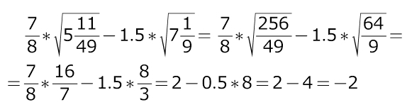
0
---------------------------------------------------
Приложения:

Вас заинтересует
2 года назад
7 лет назад
10 лет назад
10 лет назад
10 лет назад