Ответы
Ответ дал:
0
Вот решение (m+n)^22-(m-n)^22
|
|
Приложения:

Ответ дал:
0
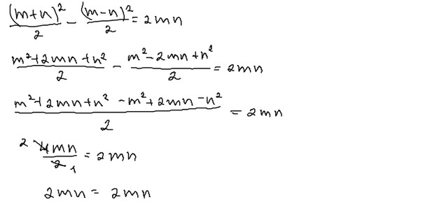
((m+n)^2-(m-n)^2)/2 = 2mn
(m^2+2mn+n^2-m^2+2mn-n^2)/2=2mn
4mn/2=2mn
2mn=2mn
Приложения:

Вас заинтересует
2 года назад
2 года назад
8 лет назад
10 лет назад
10 лет назад
10 лет назад