• Предмет: Алгебра
  • Автор: maksvolkovickii
  • Вопрос задан 10 лет назад

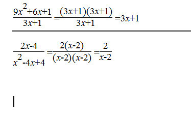
помогите сократить рациональную дробь

Приложения:

Ответы

Ответ дал: triolana
0
=====================================================
Приложения:
Вас заинтересует