• Предмет: Алгебра
  • Автор: Natahakl
  • Вопрос задан 10 лет назад

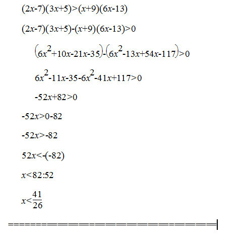
Помогите решить неравенство (2х-7)(3х+5) > (x+9)(6x-13)

Ответы

Ответ дал: triolana
0
======================================================
Приложения:
Вас заинтересует