• Предмет: Математика
  • Автор: Таня1503623
  • Вопрос задан 10 лет назад

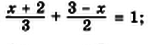
Решите уравнение)))))))

Приложения:

Ответы

Ответ дал: Kатюша69
0


2(х+2)+3(3-х)=6

2х+4+9-3х=6

-х+13=6

-х=-7

х=7

жду лучший)

Ответ дал: Парамошка1
0
x+2=3 тоесть 3-2=1 получается x(1)+2=3 + 3-x=2 тоесть 3-2=1 3-x (1)=2 вот моё решение
Вас заинтересует