• Предмет: Математика
  • Автор: Таня1503623
  • Вопрос задан 10 лет назад

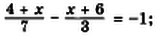
решите уравнение)))))))

Приложения:

Ответы

Ответ дал: Kатюша69
0


3(4+х)-7(х+6)=-21

12+3х-7х-42=-21

-4х-30=-21

-4х=9

х=-9/4

х=-2,25

Вас заинтересует