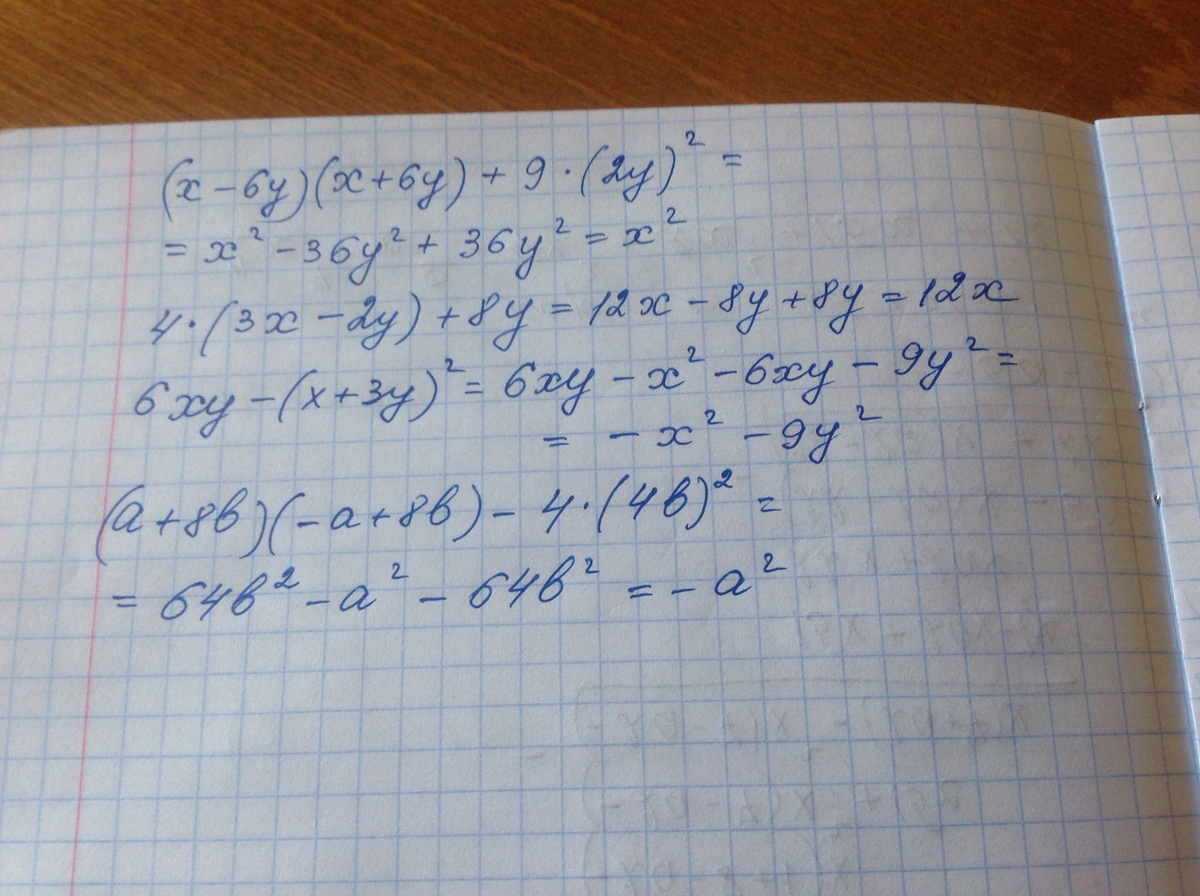
упростите выражения: (x - 6y)*( x +6y)+ 9 * (2y)² ; 4*(3x - 2y) + 8y ;6 xy - (x+ 3y)²; (a + 8b) * (-a + 8b) - 4*(4b)²
Ответы
Ответ дал:
0
Решение смотри в приложении
Приложения:

Ответ дал:
0
представьте в виде произведения а)ab - cb;b)4a²b - 6ab² ;в)25x² - 16y²;г)9m² - 12mn + 4n²
Вас заинтересует
2 года назад
2 года назад
7 лет назад
7 лет назад
10 лет назад
10 лет назад
10 лет назад