• Предмет: Математика
  • Автор: Erorta
  • Вопрос задан 10 лет назад

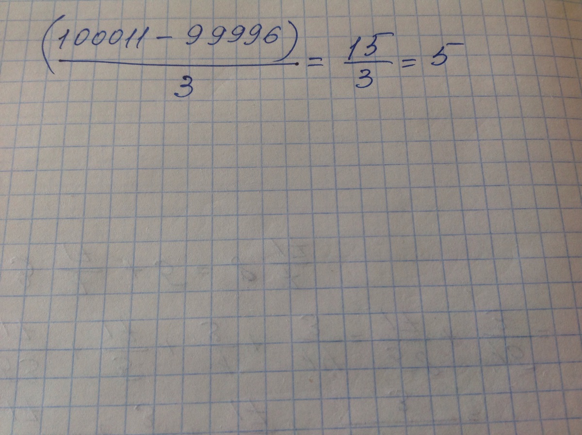
Запиши выражение частное разности чисел 100011 и 99996 и числа 3 найди его значение

Ответы

Ответ дал: ВладимирБ
0
Решение смотри в приложении
Приложения:
Вас заинтересует