• Предмет: Алгебра
  • Автор: 8060909
  • Вопрос задан 10 лет назад

Помогите пожалуйста срочно

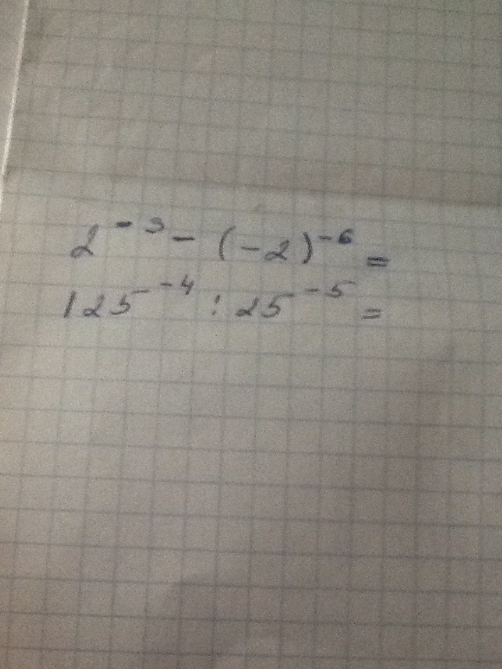
Приложения:

Ответы

Ответ дал: vpvrest
0
1/2³-(-1/2⁶)=1/8-1/64=8/64-1/64=7/64
1/125⁴:1/25⁵=25⁵/125⁴=5¹⁰/5¹²=1/5²=1/25=0,04
Ответ дал: NiGhtWolFs
0
8/64-1/64=63/64 ??? не 7/64?
Вас заинтересует