Ответы
Ответ дал:
0
-----------------------------------------------------------
Приложения:

Ответ дал:
0
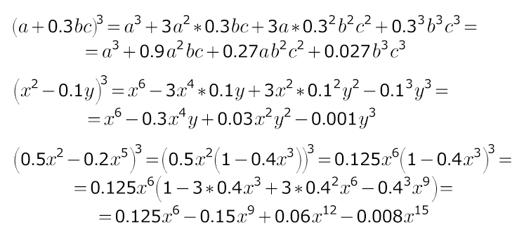
откуда взялось в 5 номере
3a во второй степени??
3a во второй степени??
Ответ дал:
0
по формуле... куб суммы=куб первого слагаемого+ утроенное произведение квадрата первого на второй...
Вас заинтересует
2 года назад
2 года назад
7 лет назад
10 лет назад
10 лет назад
10 лет назад