• Предмет: Алгебра
  • Автор: Касенбаева
  • Вопрос задан 10 лет назад

Помогите ПОЖАЛУЙСТА!!!50баллов!!!

Приложения:

Ответы

Ответ дал: mukus13
0
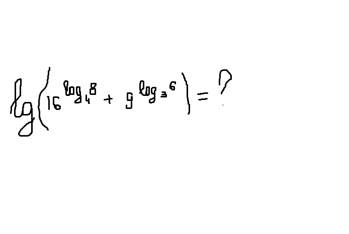
lg( 16^{ log_{4}8} + 9^{ log_{3} 6} )=lg( 4^{ 2log_{4}8} + 3^{ 2log_{3} 6} )=lg( 4^{ log_{4}8^2} + 3^{ log_{3} 6^2} )=lg( 4^{ log_{4}64} + 3^{ log_{3} 36} )=lg(64+36)=lg100=lg10^2=2

a^{ log_{a} b} =b
Вас заинтересует