• Предмет: Алгебра
  • Автор: 45289
  • Вопрос задан 10 лет назад

СРОЧНО! ЗАРАНЕЕ СПАСИБО!!!
Напишите решение пжлста

Приложения:

Ответы

Ответ дал: Georgyi
0

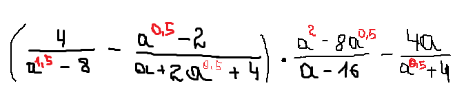
( frac{4}{ a^{1,5} -8} - frac{ a^{0,5} -2}{a+2 a^{0,5} +4} )* frac{ a^{2} -8 a^{0,5} }{a-16} - frac{4a}{ a^{0,5} +4}

замена:  a^{0,5} =b

( frac{4}{(b-2)( b^{2} +2b+4)} - frac{b-2}{ b^{2} +2b+4} )* frac{b( b^{3} - 2^{3} )}{(b-4)(b+4)} - frac{4 b^{2} }{b+4}

 frac{-b(b-4)}{ b^{3} - 2^{3} } * frac{b( b^{3} - 2^{3} )}{(b-4)(b+4)} - frac{4 b^{2} }{b+4}

 frac{- b^{2} }{b+4} - frac{4 b^{2} }{b+4} = frac{-5 b^{2} }{b+4}

b= a^{0,5}

Ответ:  frac{-5a}{ sqrt{a} +4} .
Ответ дал: 45289
0
спасибо, надеюсь, всё правильно)
Ответ дал: 45289
0
я уже поняла
Вас заинтересует