Решить поддробно распишите что делаете.Задание:Освободитесь от иррациональности в знаменателе дроби. Во вложений 2 примера
Приложения:

Ответы
Ответ дал:
0
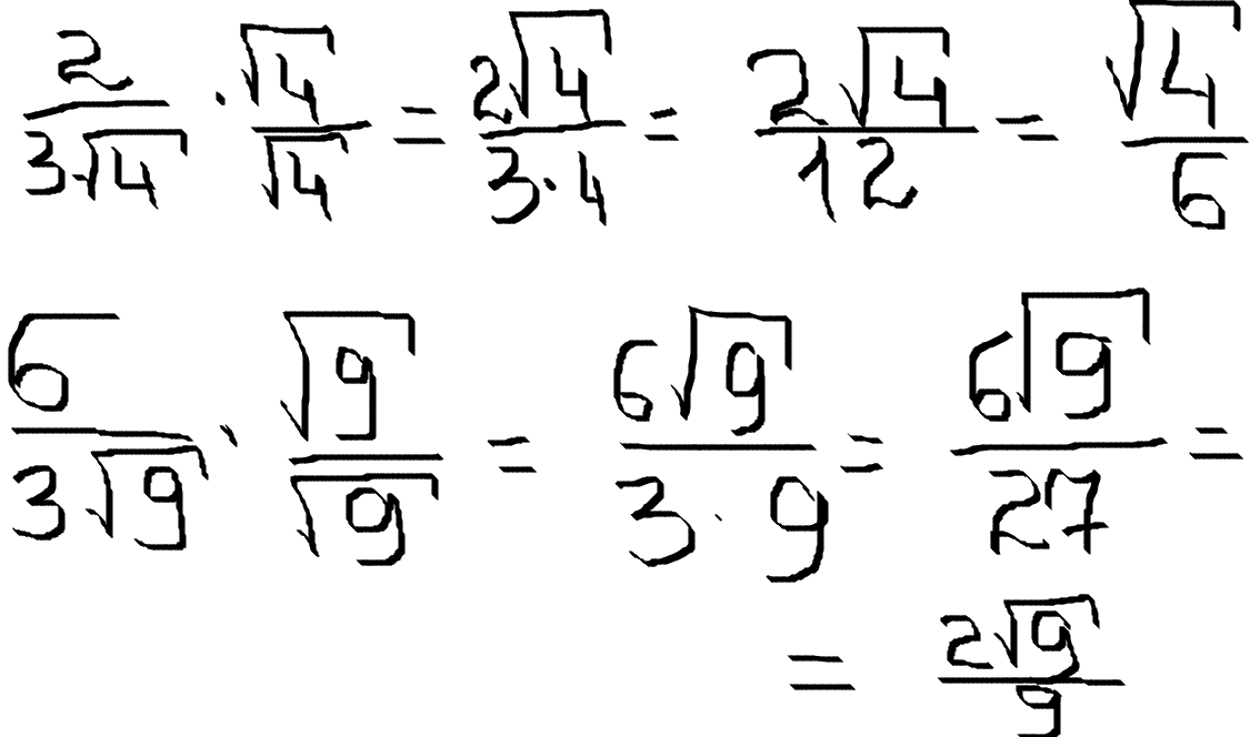
Чтобы избавиться от иррациональности в знаменателе, необходимо и числитель и знаменатель на одно и то же иррациональное число
Приложения:

Вас заинтересует
2 года назад
2 года назад
8 лет назад
8 лет назад
10 лет назад
10 лет назад