Ответы
Ответ дал:
0
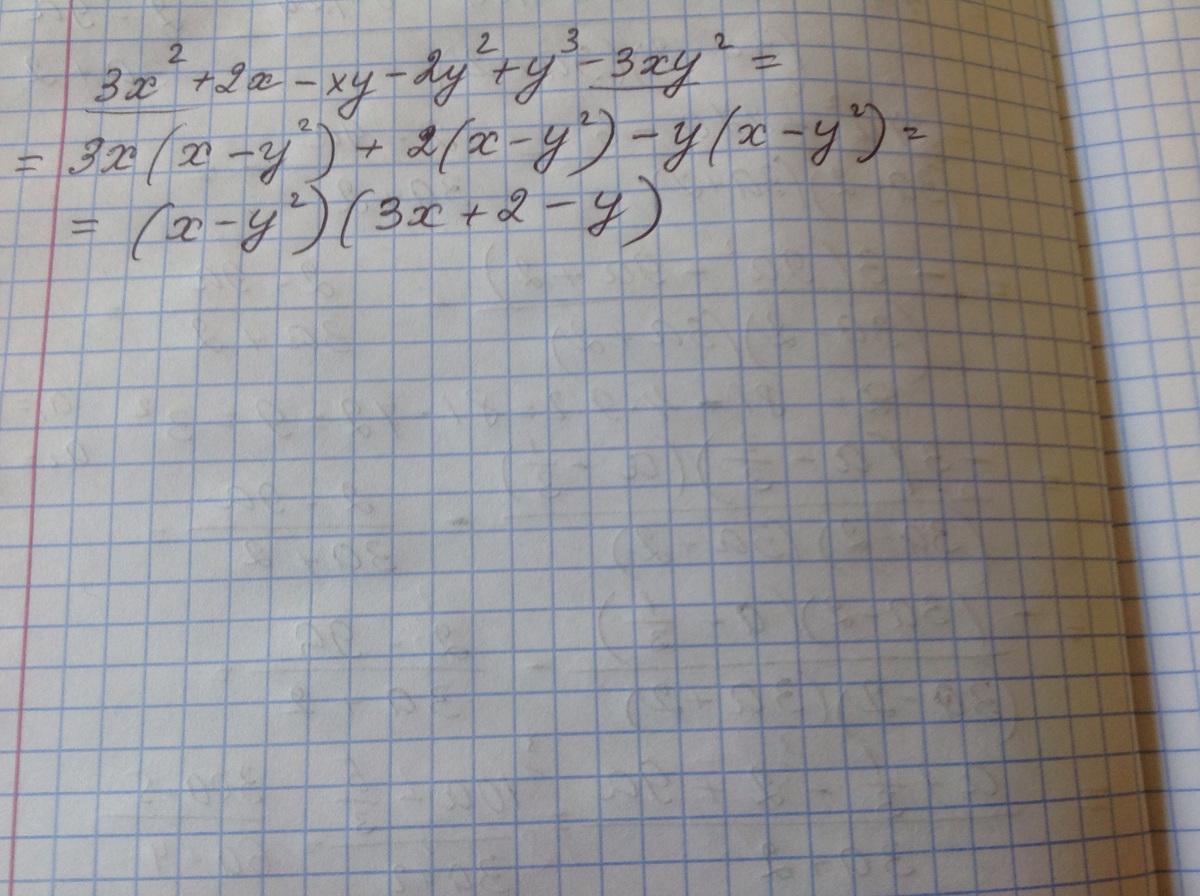
(3x²+2x-xy)-(2y²+y³-3xy²)=х(3х+2-у)-у²(2-у+3х)=(х-у²)(3х+2-у)
Ответ дал:
0
Решение смотри в приложении
Приложения:

Вас заинтересует
2 года назад
7 лет назад
7 лет назад
10 лет назад
10 лет назад
10 лет назад