• Предмет: Алгебра
  • Автор: Аноним
  • Вопрос задан 11 лет назад

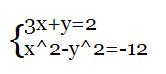
Помогите, пожалуйста, решить систему уравнений.

Приложения:

Ответы

Ответ дал: nelle987
0

y=2-3x

x^2-(2-3x)^2=-12

x^2-4+12x-9x^2=-12

8x^2-12x-8=0

2x^2-3x-2=0

D=9+16=25

x=(3+-5)/4

x1=2,  x2=-1/2

y1=2-3*2=2-6=-4

y2=2-3*(-1/2)=2+3/2=7/2

 

Ответ: (2,-4), (-1/2,7/2).

Вас заинтересует