Ответы
Ответ дал:
0
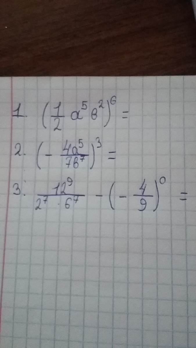
1) = а³⁰ b¹² = a³⁰ b¹²
2⁶ 64
2) = - 4³ a¹⁵ = -64a¹⁵
7³ b²¹ 343b²¹
3)= 12⁹ - 1 = 12⁹ - 1 = 12² -1 = 144 -1 =143
(2*6)⁷ 12⁷
2⁶ 64
2) = - 4³ a¹⁵ = -64a¹⁵
7³ b²¹ 343b²¹
3)= 12⁹ - 1 = 12⁹ - 1 = 12² -1 = 144 -1 =143
(2*6)⁷ 12⁷
Вас заинтересует
2 года назад
2 года назад
8 лет назад
8 лет назад
10 лет назад
10 лет назад
11 лет назад
11 лет назад