Ответы
Ответ дал:
0
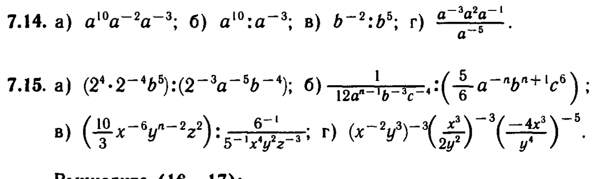
7.14
а)а^10а^-2a^-3
a^10a-3*1/a^2
а10-2а-3*1
а8а-3*1
а8а-3
а8*1/а3
а8-3*1
а5*1
ответ:а5
а^10-(-3)
а10+3
ответ а13
а)а^10а^-2a^-3
a^10a-3*1/a^2
а10-2а-3*1
а8а-3*1
а8а-3
а8*1/а3
а8-3*1
а5*1
ответ:а5
а^10-(-3)
а10+3
ответ а13
Вас заинтересует
2 года назад
2 года назад
8 лет назад
8 лет назад
10 лет назад
11 лет назад