Ответы
Ответ дал:
0
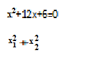
Согласно теореме Виета:
х1 + х2 = -12,
х1*х2 = 6.
Возведем в квадрат первое уравнение, получим:
х1^2 + 2*x1*x2 + x2^2 = 144
x1^2 + x2^2 = 144 - 2*x1*x2 = 144 - 2*6 = 132.
Ответ: 132
х1 + х2 = -12,
х1*х2 = 6.
Возведем в квадрат первое уравнение, получим:
х1^2 + 2*x1*x2 + x2^2 = 144
x1^2 + x2^2 = 144 - 2*x1*x2 = 144 - 2*6 = 132.
Ответ: 132
Ответ дал:
0
Такие задания как раз дают на проверку умения применять теорему Виета.
Ответ дал:
0
значит мы пропустили бывает и такое у нас в классе
Ответ дал:
0
я наверно тоже пропустила. езжу в муз.школу не успеваю, но стараюсь
Ответ дал:
0
а откуда 144?
Ответ дал:
0
144 - квадрат числа (- 12)
Вас заинтересует
3 года назад
3 года назад
8 лет назад
10 лет назад
11 лет назад
11 лет назад