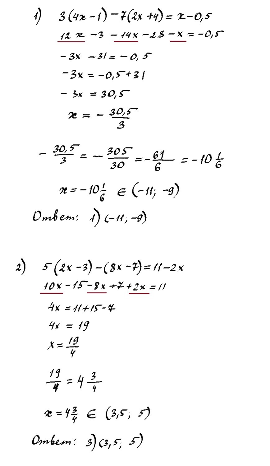
Укажите промежуток, которому принадлежит корень уравнения 3(4x-1)-7(2x+4)=x-0,5
1) (-11; -9) ; 2) (7; 9) ; 3) (-2; 0) ; 4) (-1; 0).
Укажите промежуток, которому принадлежит корень уравнения 5(2x-3)-(8x-7)=11-2x
1) (8; 9) ; 2) (0; 2) ; 3) (3,5; 5) ; 4) (5; 6).
Ответы
Ответ дал:
0
Решение в прикрепленном файле.
Приложения:

Вас заинтересует
2 года назад
7 лет назад
7 лет назад
10 лет назад
10 лет назад
10 лет назад