Ответы
Ответ дал:
0
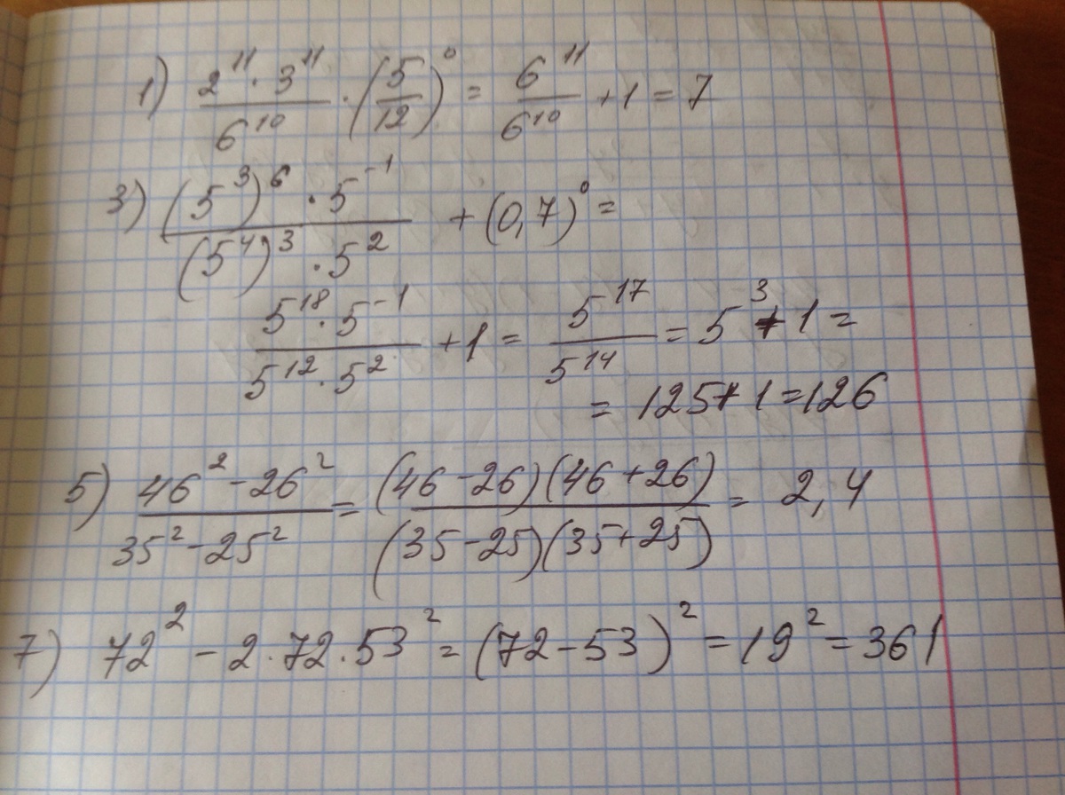
1)(6^11/6^10)+1=6+1=7
3)(5^12*5^(-1))/(5^12*5^2)+1=1/(5^3)+1=1/125+1
5)(46-26)*(46+26)/(35-25)(35+25)=20*72/10*60=72/10*3=2,4
7)(72-53)^2=19^2=361
3)(5^12*5^(-1))/(5^12*5^2)+1=1/(5^3)+1=1/125+1
5)(46-26)*(46+26)/(35-25)(35+25)=20*72/10*60=72/10*3=2,4
7)(72-53)^2=19^2=361
Ответ дал:
0
Решение смотри в приложении
Приложения:

Ответ дал:
0
спасибо
Вас заинтересует
2 года назад
7 лет назад
7 лет назад
10 лет назад