Ответы
Ответ дал:
0
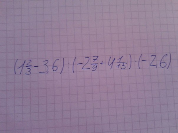
(1 2/3-3,6) : (-2 7/9+4 1/15)·(-2,6)=преобразуем все десятичные дроби в обыкновенные
=(5/3-18/5) : (-25/9+61/15) ·(-13/5)=приводим к общему знаменателю и выполняем действия
=((25-54)/15) : ((-125+183)/45) ·(-13/5)=
=-29/5 : (-58)/45 · (-13)/5=
=-29/5 · (-45/58) · (-13/5)=
=4,5 · (-2,6)=-11,7.
=(5/3-18/5) : (-25/9+61/15) ·(-13/5)=приводим к общему знаменателю и выполняем действия
=((25-54)/15) : ((-125+183)/45) ·(-13/5)=
=-29/5 : (-58)/45 · (-13)/5=
=-29/5 · (-45/58) · (-13/5)=
=4,5 · (-2,6)=-11,7.
Вас заинтересует
8 лет назад
10 лет назад
10 лет назад
11 лет назад