• Предмет: Алгебра
  • Автор: Brilliant05
  • Вопрос задан 11 лет назад

Помогите Решить уравнения!!!!!!!!

Приложения:

Ответы

Ответ дал: Ivanna2013
0

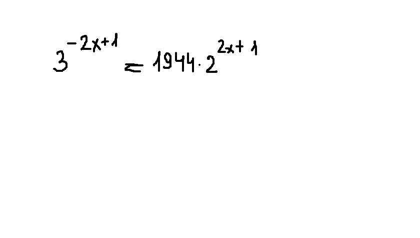
3^(-2x) *3=2^3  *3^5  *2^2x   *2

(1/6)^2x  = 1296

-2x =4

x = -2

 

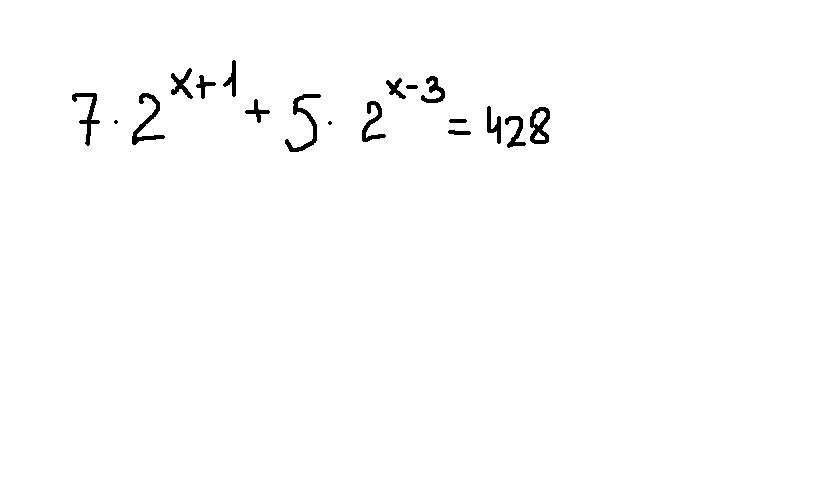
7*2^x  *2+ 5*2^x *2^-3 =428

2^x( 14+5/8) =428

2^x =428*8/117

 

x = log по  основанию 2(3424/117)

Ответ дал: Yena
0

..........................................................................

Приложения:
Вас заинтересует