• Предмет: Алгебра
  • Автор: Мухотина
  • Вопрос задан 10 лет назад

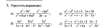
Помогите с номером 7, срочно! Модераторы и анти-спамеры , не удаляйте мое задание. Там всего 1 номер , всего таких заданий 4 , я и так делю как могу. По одному примеру на задание , я добавлять не намерена.

Приложения:

Ответы

Ответ дал: Alexаndr
0
frac{a^2-9b^2}{c^2+8cd+16d^2}*frac{c^2-16d^2}{3b-a}=frac{(a-3b)(a+3b)}{(c+4d)^2}*frac{(c-4d)(c+4d)}{3b-a}=-frac{(a+3b)(c-4d)}{(c+4d)}

frac{4a^2}{2a-b}:frac{12a^3}{4a^2-b^2}:frac{2a^2}{6a^2-3ab}=frac{4a^2}{2a-b}*frac{(2a-b)(2a+b)}{12a^3}*frac{3a(2a-b)}{2a^2}=\=frac{2a+b}{3a}*frac{3a(2a-b)}{2a^2}=frac{4a^2-b^2}{2a^2}

frac{a^2-b^2+a+b}{x^2-y^2+x-y}:frac{3a+3b}{2x-2y}=frac{(a-b)(a+b)+(a+b)}{(x-y)(x+y)+(x-y)}*frac{2(x-y)}{3(a+b)}=\=frac{(a+b)(a-b+1)}{(x-y)(x+y+1)}*frac{2(x-y)}{3(a+b)}=frac{2(a-b+10)}{3(x+y+1)}

frac{x^2-x}{2x+2}*frac{x^2+2x+1}{x^2+4x}:frac{3x-3}{x^2-16}=frac{x(x-1)}{2(x+1)}*frac{(x+1)^2}{x(x+4)}*frac{(x-4)(x+4)}{3(x-1)}=\=frac{(x-1)(x+1)}{2(x+4)}*frac{(x-4)(x+4)}{3(x-1)}=frac{(x+1)(x-4)}{6}
Ответ дал: Мухотина
0
Огромное вам спасибо!!!!
Вас заинтересует