• Предмет: Алгебра
  • Автор: jogh75
  • Вопрос задан 10 лет назад

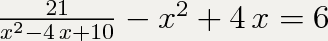
Помогите,пожалуйста!

Приложения:

Ответы

Ответ дал: LFP
0
Ответ: х=3 или х=1
------------------------------
Приложения:
Ответ дал: jogh75
0
Огромное спасибо.
Ответ дал: LFP
0
рада была помочь)))
Вас заинтересует