• Предмет: Алгебра
  • Автор: Brilliant05
  • Вопрос задан 11 лет назад

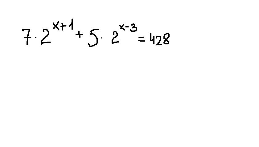
Помогите очень...........срочно!!!!!!

Приложения:

Ответы

Ответ дал: Yena
0

Там точно плюс. Выкладываю решение с минусом.

Т.К. если решать с плюсом получается через логарифм.

Приложения:
Вас заинтересует