• Предмет: Математика
  • Автор: anna758789
  • Вопрос задан 10 лет назад

Помоги,помоги,помоги

Приложения:

Ответы

Ответ дал: nafanya2014
0
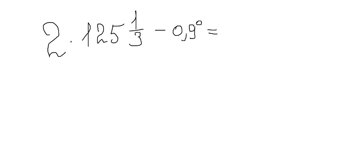
2cdot 125 frac{1}{3}-0,9^0= 2cdot frac{125cdot 3+1}{3}-1= 2cdot frac{375+1}{3}-1=   2cdot frac{376}{3}-1= \  \ = frac{2cdot 376}{3}-1 = frac{752}{3}- frac{3}{3}= frac{752-3}{3}= frac{749}{3}=249 frac{2}{3}
Ответ дал: anna758789
0
Простите, а эти степени с рациональными показателем?
Ответ дал: nafanya2014
0
Нет. А где написано, что там степени. Как надо догадаться, что 125 в степени 1/3?
Ответ дал: nafanya2014
0
2*5-1=10-1=9 верный ответ, но задание удалят. Я отмечу нарушение
Ответ дал: anna758789
0
125 в степени 1/3
Ответ дал: nafanya2014
0
125 в степени 1/3 это 5, 2*5=10 ; 10-1=9 Ответ. 9
Вас заинтересует