• Предмет: Математика
  • Автор: Никитосик2004
  • Вопрос задан 10 лет назад

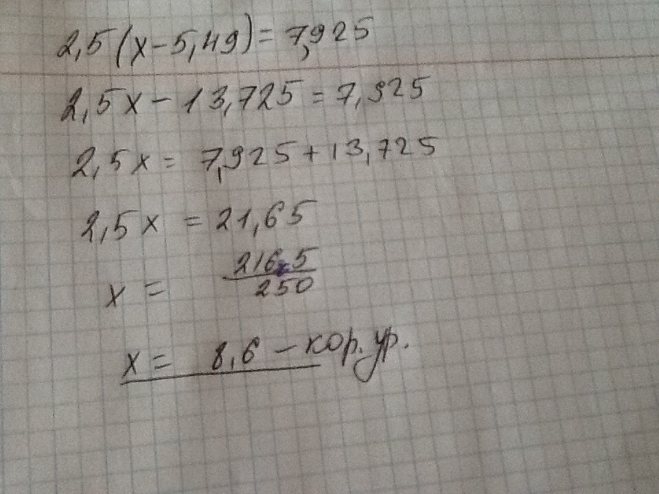
ПОЖАЛУЙСТА помогите решить уравнение 2,5*(х-5,49)=7,925

Ответы

Ответ дал: КоНьЯчОк
0
2,5*(х-5,49)=7,925
(х-5,49)=7,925:2,5
х-5,49=3,17
х=5,49-3,17
х=2,32
удачи)
Ответ дал: КоНьЯчОк
0
не)ой извени там ошибочка)
Ответ дал: КоНьЯчОк
0
всё)
Ответ дал: КоНьЯчОк
0
можно не распределительным способом
Ответ дал: КоНьЯчОк
0
в итоге то же самое
Ответ дал: КоНьЯчОк
0
но если по программе требуют но иному я и так могу рассписать)
Ответ дал: кристалина
0
Я решила так,надеюсь правильно и четко))))
Приложения:
Вас заинтересует