Ответы
Ответ дал:
0
5. x¹° * x³ = x¹°⁺³ = x¹³
б) a¹¹/a⁸ = a¹¹⁻⁸=a³
в)(y²)⁷ = y¹⁴
г) ((-y)³)² = y⁶
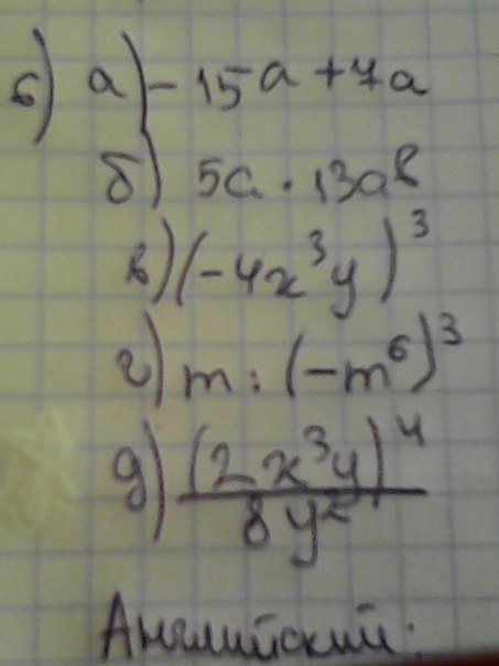
6. -15a + 7a = -8a
б) 5а * 13аb = 65а²b
в)m/ (-m⁶)³ = 1/m¹⁷
г)
= 2x⁷y
б) a¹¹/a⁸ = a¹¹⁻⁸=a³
в)(y²)⁷ = y¹⁴
г) ((-y)³)² = y⁶
6. -15a + 7a = -8a
б) 5а * 13аb = 65а²b
в)m/ (-m⁶)³ = 1/m¹⁷
г)
Вас заинтересует
3 года назад
3 года назад
8 лет назад
10 лет назад
10 лет назад
11 лет назад