Решите мне одно уравнение.,10 класс. Я его три раза я его выкладывал и никто не решил....
Приложения:
                     
                            Ответы
                                            Ответ дал: 
                                                                                    
                                        
                                            
                                                
                                                
                                                
                                                    0
                                                
                                            
                                        
                                    
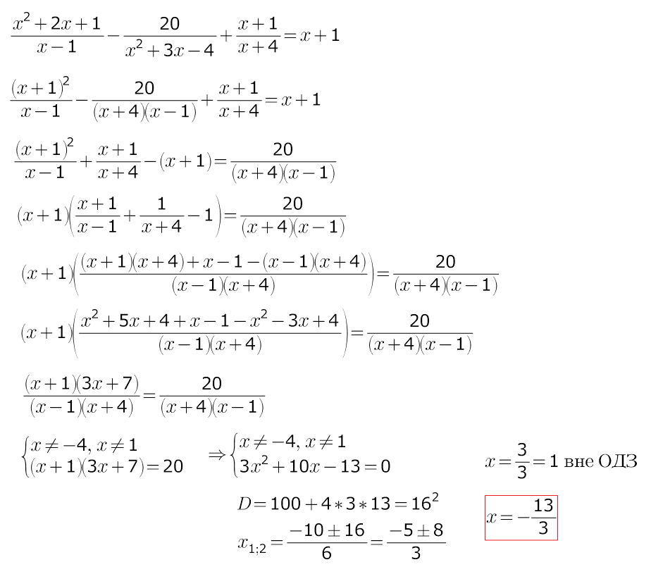
                                        (x²+2x+1)/(x-1)-20/(x+4)(x-1)+(x+1)/(x+4)=x+1
x≠1 x≠-4
(x+4)(x²+2x+1)-20+(x-1)(x+1)-(x+1)(x²+3x-4)=0
x³+4x²+2x²+8x+x+4-20+x²-1-x³-3x²+4x-x²-3x+4=0
3x²+10x+7=0
D=100-84=16
x1=(-10-4)/6=-7/3
x2=(-10+4)/6=-1
                                    
                                        
                                        
                                x≠1 x≠-4
(x+4)(x²+2x+1)-20+(x-1)(x+1)-(x+1)(x²+3x-4)=0
x³+4x²+2x²+8x+x+4-20+x²-1-x³-3x²+4x-x²-3x+4=0
3x²+10x+7=0
D=100-84=16
x1=(-10-4)/6=-7/3
x2=(-10+4)/6=-1
                                            Ответ дал: 
                                                                                    
                                        
                                            
                                                
                                                
                                                
                                                    0
                                                
                                            
                                        
                                    
                                        +4-20-1+4 = -13
                                    
                                        
                                        
                                
                                            Ответ дал: 
                                                                                    
                                        
                                            
                                                
                                                
                                                
                                                    0
                                                
                                            
                                        
                                    
                                        Ответ: х = -13/3
------------------------
                                                ------------------------
Приложения:
                     
                            Вас заинтересует
                
                        2 года назад
                    
                
                        2 года назад
                    
                
                        7 лет назад
                    
                
                        10 лет назад
                    
                
                        10 лет назад
                    
                
                        10 лет назад