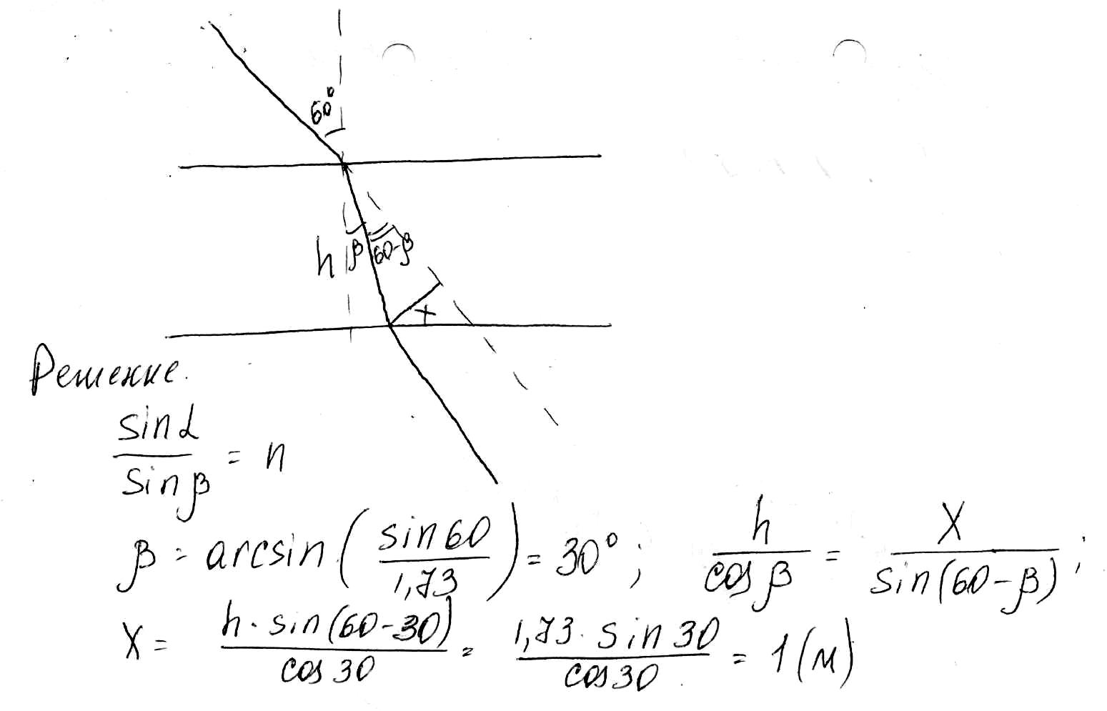
Толщина пластинки 1.73 см, показатель преломления 1.73. На сколько смещается вышедший из пластинки луч, если угол падения луча на поверхность плоскопараллельной пластинки равен 60°?
Ответы
Ответ дал:
0
Решение ниже...........................................
Только ответ не 1м , а 1см
Приложения:
Вас заинтересует
3 года назад
3 года назад
8 лет назад
8 лет назад
11 лет назад
11 лет назад
11 лет назад