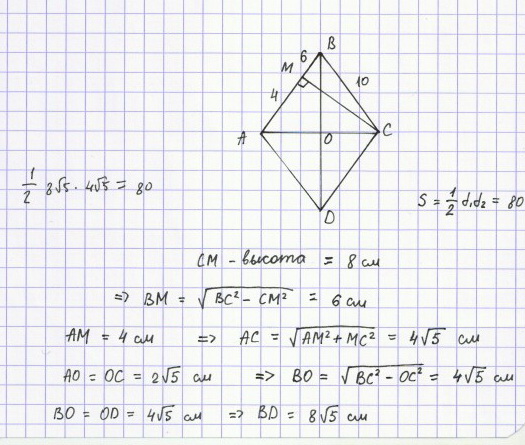
A) сторона ромба 10см, высота 8 см. Найдите площадь ромба и его ддиагонали
б) в равнобокой трапеции основания 4 см и 12 см, боковая сторона 5 см. Найдите площадь трапеции
Ответы
Ответ дал:
0
.........только под буквой Б...........
Приложения:

Ответ дал:
0
я решил только (а) , (б) у тебя уже решено правильно
Приложения:

Вас заинтересует
2 года назад
2 года назад
8 лет назад
8 лет назад
10 лет назад
10 лет назад
10 лет назад