• Предмет: Алгебра
  • Автор: PiratDev
  • Вопрос задан 10 лет назад

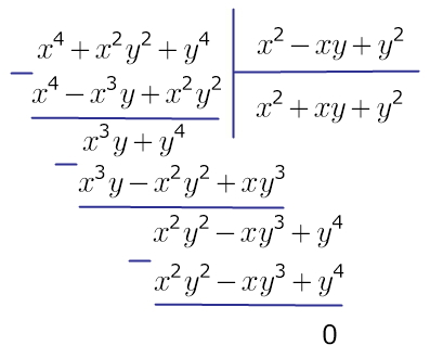
x^4+x^2y^2+y^4/x^2-xy+y^2 помогите решить, надо уголком

Ответы

Ответ дал: LFP
0
деление можно проверить умножением...
Приложения:
Вас заинтересует