• Предмет: Математика
  • Автор: anna758789
  • Вопрос задан 10 лет назад

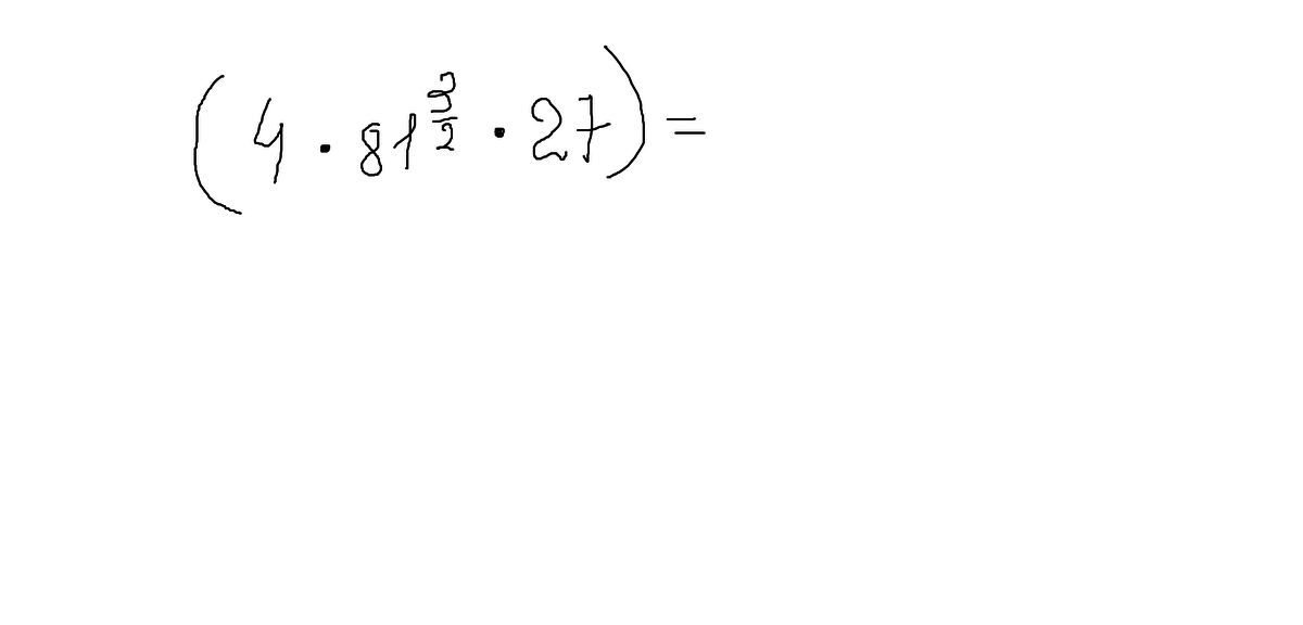
определение с рациональным показателем 81 в степени 3/2

Приложения:

Ответа на этот вопрос пока нет. Попробуйте найти его через форму поиска.

Вас заинтересует