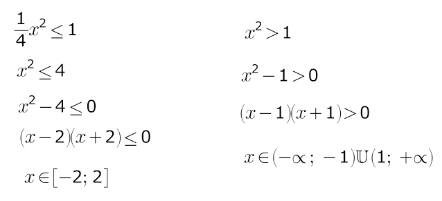
Решить систему неравенств
Одна четвертая х^2 меньше или равно 1
х^2 больше 1
Пожалуйста, с решением
Ответы
Ответ дал:
0
решение методом интервалов...
или можно рассуждать и как для квадратного трехчлена:
если знак неравенства ">" --- решение "больше большего корня и меньше меньшего"
если знак неравенства "<" --- решение "между корнями"
или можно рассуждать и как для квадратного трехчлена:
если знак неравенства ">" --- решение "больше большего корня и меньше меньшего"
если знак неравенства "<" --- решение "между корнями"
Приложения:

Вас заинтересует
7 лет назад
10 лет назад
10 лет назад
10 лет назад