Ответы
Ответ дал:
0
--------------------------------------------
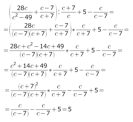
Приложения:

Ответ дал:
0
Приложения:

Вас заинтересует
2 года назад
2 года назад
7 лет назад
10 лет назад
10 лет назад
10 лет назад
10 лет назад