• Предмет: Математика
  • Автор: valkaiulkina
  • Вопрос задан 10 лет назад

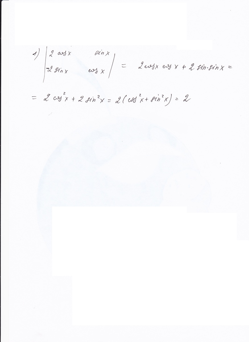
Помогите пожалуйста решить 1 пример

Приложения:

Ответы

Ответ дал: igortym777
0
Пример 1..............................
Приложения:
Ответ дал: valkaiulkina
0
большое спасибо))
Вас заинтересует