Ответы
Ответ дал:
0
=======================================
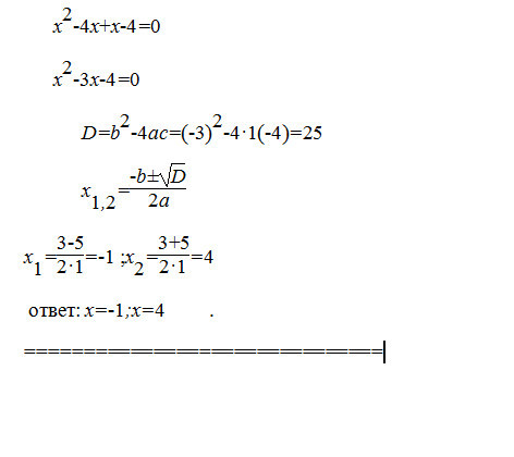
Приложения:

Ответ дал:
0
-4х+х=0+4
-5х=4
Любой корень уравнения
-5х=4
Любой корень уравнения
Приложения:

Ответ дал:
0
Это какого класса ?
Ответ дал:
0
восьмого
Ответ дал:
0
Я думала пятого
Ответ дал:
0
Тогда не списывай
Ответ дал:
0
окей
Вас заинтересует
2 года назад
2 года назад
7 лет назад
7 лет назад
10 лет назад
10 лет назад
10 лет назад