Ответы
Ответ дал:
0
Решение
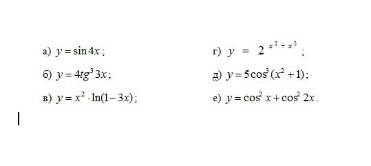
1) y = sin4x
y` = cos4x * (4x)` = 4*cos4x
2) y = 4tg³3x
y` = 4*(tg³3x)1*(tg3x)`*(3x)` =
= 12tg²3x * (1/cos²3x) * 3 = 36tg²3x / cos²3x
3) y = x² * ln(1 - 3x)
y` = (x²)*ln(1 - 3x) + x²*[ln(1 - 3x)`]=
= 2x*ln(1 - 3x) - 3*x²/(1 - 3x)
4) y = 2^(x² + x³)
y` = [2^(x² + x³)]` * (x² + x³)` =
= 2^(x² + x³) * ln2 * (2x + 3x²)
5) y = 5*cos³(x² + 1)
y` = 5*[cos³(x² + 1)]` * [cos(x² + 1)]` * (x² + 1)` =
= 5*3cos²(x² + 1) * ( - sin(x² + 1))*(2x) = - 30x * sin(x² + 1) * cos²(x² + 1)
6) y = cos²x + cos²2x
y` = (cos²x)` +(cos²2x)` = (cos²x)`*(cosx)` + (cos²2x)`*(cos2x)`*(2x)` =
= 2cosx*(- sinx) + 2cos2x * (- sin2x) * 2 = - 2 sinxcosx -
- 4sin2xcos2x = -(sin2x + 2sin4x)
Пользуемся таблицей производных:
sinx)` = cosx
(tgx)` = 1/cos²x
(lnx)` = 1/x
(a^x)` = (^x) *lna
(cosx)` = - sinx
x^n = nx^(n - 1)
Используем формулы:
1) y = u*v
y` = u`v + v`u
2) (u + v)` = u` + v`
ПРОСМОТРИТЕ РЕШЕНИЕ ВНИМАТЕЛЬНЕЕ.
Я ДОПИСАЛА ПОДРОБНОЕ РЕШЕНИЕ И ФОРМУЛЫ.
1) y = sin4x
y` = cos4x * (4x)` = 4*cos4x
2) y = 4tg³3x
y` = 4*(tg³3x)1*(tg3x)`*(3x)` =
= 12tg²3x * (1/cos²3x) * 3 = 36tg²3x / cos²3x
3) y = x² * ln(1 - 3x)
y` = (x²)*ln(1 - 3x) + x²*[ln(1 - 3x)`]=
= 2x*ln(1 - 3x) - 3*x²/(1 - 3x)
4) y = 2^(x² + x³)
y` = [2^(x² + x³)]` * (x² + x³)` =
= 2^(x² + x³) * ln2 * (2x + 3x²)
5) y = 5*cos³(x² + 1)
y` = 5*[cos³(x² + 1)]` * [cos(x² + 1)]` * (x² + 1)` =
= 5*3cos²(x² + 1) * ( - sin(x² + 1))*(2x) = - 30x * sin(x² + 1) * cos²(x² + 1)
6) y = cos²x + cos²2x
y` = (cos²x)` +(cos²2x)` = (cos²x)`*(cosx)` + (cos²2x)`*(cos2x)`*(2x)` =
= 2cosx*(- sinx) + 2cos2x * (- sin2x) * 2 = - 2 sinxcosx -
- 4sin2xcos2x = -(sin2x + 2sin4x)
Пользуемся таблицей производных:
sinx)` = cosx
(tgx)` = 1/cos²x
(lnx)` = 1/x
(a^x)` = (^x) *lna
(cosx)` = - sinx
x^n = nx^(n - 1)
Используем формулы:
1) y = u*v
y` = u`v + v`u
2) (u + v)` = u` + v`
ПРОСМОТРИТЕ РЕШЕНИЕ ВНИМАТЕЛЬНЕЕ.
Я ДОПИСАЛА ПОДРОБНОЕ РЕШЕНИЕ И ФОРМУЛЫ.
Ответ дал:
0
моно по понятнее на бумажке как обычго.я в математике 0
Вас заинтересует
3 года назад
3 года назад
8 лет назад
8 лет назад
10 лет назад
11 лет назад