• Предмет: Математика
  • Автор: verevkina1104204
  • Вопрос задан 10 лет назад

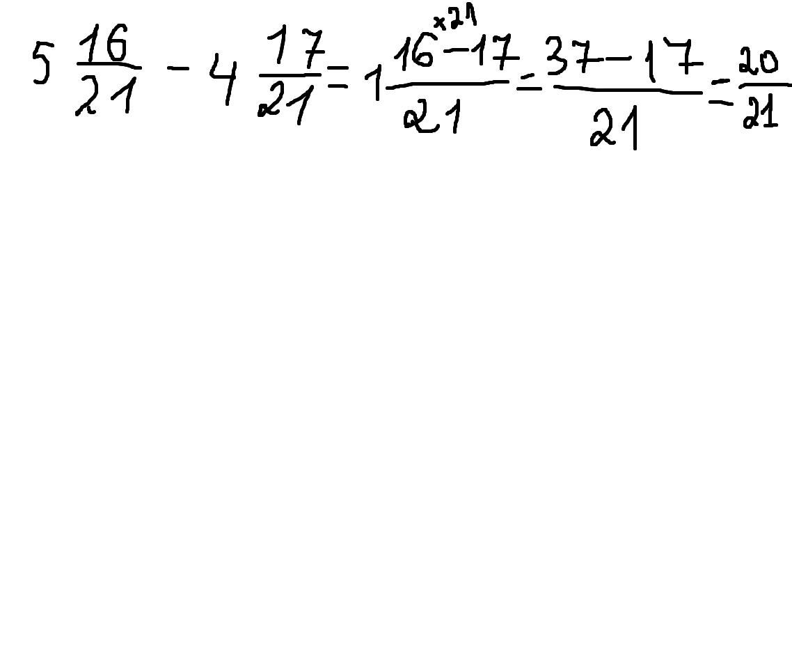
5 целых 16/21 - 4 17/21 = ? ,помогите

Ответы

Ответ дал: 27mashenka20
0
ответ 20/21   смотри рисунок
Приложения:
Ответ дал: vasilevaolla
0
бред,неверно...
Ответ дал: 27mashenka20
0
а сколько будет? в каком классе ты учишься?
Ответ дал: vasilevaolla
0
в колледже,1 курс
Ответ дал: 27mashenka20
0
ну, скажи сколько будет этот пример?
Ответ дал: Leksi16
0
5 16/21-4 17/21=5-4=1 16/21-17/21=37/21-17/21=20/21
Приложения:
Вас заинтересует