Ответы
Ответ дал:
0
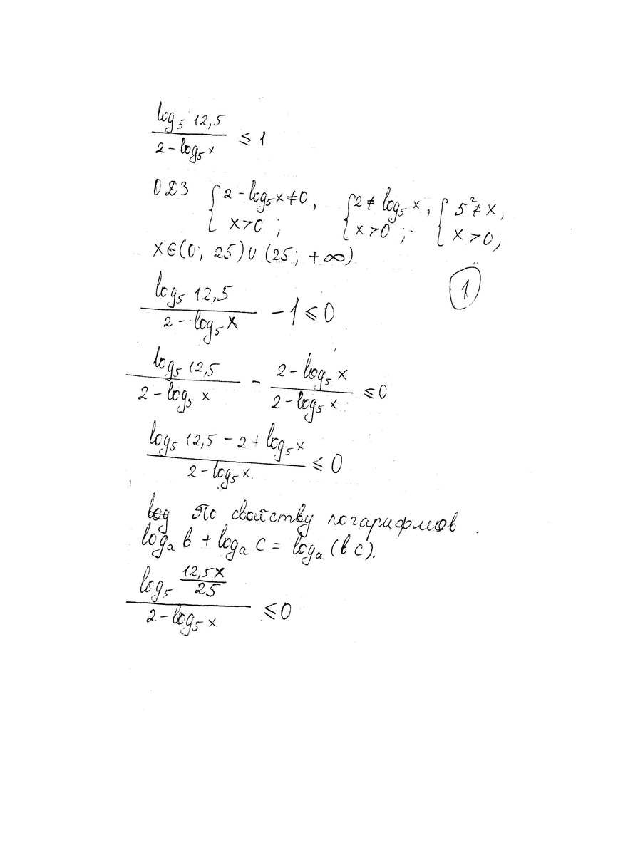
Решение в приложении. Должно быть понятно
Приложения:



Ответ дал:
0
Первый лист, последняя дробь, числитель. откуда взялось 25 и где 2 ?
Вас заинтересует
2 года назад
7 лет назад
7 лет назад
10 лет назад
10 лет назад
10 лет назад
10 лет назад