• Предмет: Алгебра
  • Автор: 1997Liza1997
  • Вопрос задан 10 лет назад

Помогите пожалуйста решить и объясните))

Приложения:

Ответы

Ответ дал: bearcab
0
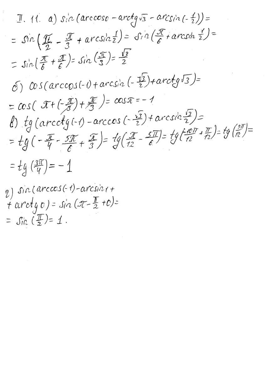
Решение в приложении II а) и б) 
Приложения:
Вас заинтересует