Ответы
Ответ дал:
0
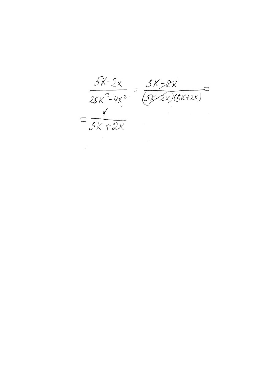
Решение в приложении.
Приложения:

Ответ дал:
0
ВСМ решение в предложении?
Вас заинтересует
2 года назад
2 года назад
7 лет назад
10 лет назад
10 лет назад
10 лет назад