Ответы
Ответ дал:
0
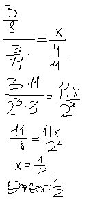
см. рисунок...........................
отметь как лучшее решение, пожайлуста!
Приложения:

Вас заинтересует
2 года назад
2 года назад
10 лет назад
10 лет назад
10 лет назад
10 лет назад