• Предмет: Алгебра
  • Автор: gotikostralnyy1
  • Вопрос задан 10 лет назад

докажите тождество ПОМОГИТЕ ПОЖАЛУЙСТА

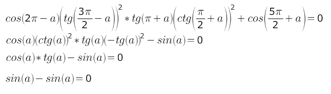
Приложения:

Ответы

Ответ дал: LFP
0
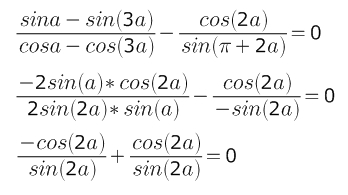
формулы: разность синусов, разность косинусов
и формулы приведения...
Приложения:
Вас заинтересует