• Предмет: Алгебра
  • Автор: 88885
  • Вопрос задан 10 лет назад

ПОМОГИТЕ,СРОЧНО!!!
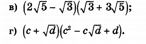
ПОД В,Г

Приложения:

Ответы

Ответ дал: dbookerkst
0
\\\\\\\\\\\\\\\
Приложения:
Вас заинтересует