Помогите пожалуйста с алгеброй
Упростить
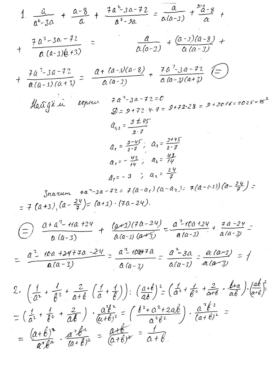
1. 
2. 
Доказать тождсетво
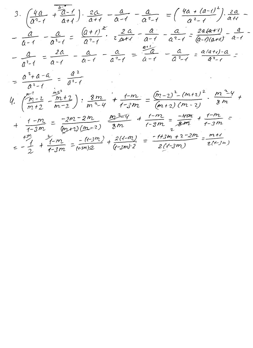
3. 
4. 
Уравнения
5. 
6. 
7. (x+5)(x-4)+x^2+18=0
8. (x+7)(x-7)+(x-3)^2=53
Ответы
Ответ дал:
0
Решение в приложении.
Приложения:
Ответ дал:
0
Спасибо большое
Вас заинтересует
3 года назад
3 года назад
8 лет назад
8 лет назад
10 лет назад
11 лет назад