• Предмет: Математика
  • Автор: mfg123
  • Вопрос задан 10 лет назад

помогите решить каждое действие письменно,

Приложения:

Ответы

Ответ дал: ussrex
0
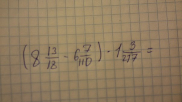
(8+ frac{13}{18}-6- frac{7}{110})*1 frac{3}{217}=(2+ frac{13}{18}- frac{7}{110})+ frac{217+3}{217}    = \  \ =  frac{220}{217}(2+ frac{13*110-7*18}{18*110})= \  \ = frac{220}{217}(2+ frac{1304}{1980}) =frac{220}{217}(2+  frac{652}{990})=frac{220}{217}* frac{2*990+652}{990}= \  \ = frac{(1980+652)*220}{990*217}= frac{579040}{214830} =  frac{752}{279}

Выделим целую часть и получим:
2 frac{194}{279}
Вас заинтересует